--- Accueil ---
S.N.T
Le Conseil d'Administration
Bateaux // Adhérents
Alain POVEDA
Camaîeu OLIVARI
Caracole ROCHET
Cher Man S 2 SOL
Christal COLL
Danila II BARRESI
Deesa 3 LE LEUXHE
Delfins DELFINO
Duck KARSENTI
Emprise SCHMITT
Eureka TRIC
Helios MEZOU
Héliotrope BOUTROUX BARAER
Îles & Ailes ROUVILLOIS Pierre-Alexandre
Infinity DE MARQUEISSAC
Jaguar DULAC
Jolie Brise RICHARD
Jubilon DESTREMAU
Kalliopa LACROIX
Kali III OLGIATI
Les Moineaux MORY
Lou Moune PRUNETA
Mathusalem LLEDO Eric
Matira CHEVALIER
Melodie RICHERME
Nagaïka BAINVEL
Orféo GELY
Orphie LIRON
Pacific Blue ROZAY
Papaye BORDERES
Parenthèse ROUVILLOIS Pierre
Petit Bouchon PORRE
Petrel AGOSTINI
Phil'Do LE DORÉ
New Life TEBOULBI
Puk GOMEZ
Sea Blue FRANCHI
Sirios FRATACCI
Stratus LARA
SuperMarmotte CURTIL
Tangui Force 1 CUER
Tchilin Tchilin PORTE
Tina FEUVRIER
Zig Zag JOSSE
Activités, animations et festivités 2025
Calendrier des régates 2025
Coupe de Noël 14 Décembre 2025
Coupe de Noel 2025
Parcours
Instructions de course
Trophée des 3 îles
Modalités / appli mobile
Participations 2025
Participations 2021 à 2024
Participations et classement 2024
Participations et classements 2023
Participations et Classements 2022
Participations et Classements 2021
Max 30/10/21
Matira 21/8/21
Matira 14/8/21
Nagaika 29/7/21
Max 17/7/21
Phil'Do 26/6/21
Max 19/6/21
Nagaïka 3/6/21
Nagaïka 1/3/21
Nagaïka 20/1/21
Compte rendu d'activités et de manifestations
Dalmatie du sud/TDF/Marmite du pêcheur 10 et 11 Octobre 2025
TDF/Soirée grillades 7 juin 2025
Sortie Porquerolles 17 et 18 Mai 2025
Formation mécanique/électronique embarquée 13/14 avril et 25 avril
Grand Prix de La Ville de Toulon 6 Avril 2025
Coupe de Noël 15 Décembre 2024
Thonade du 7 Décembre 2024
TDF/Soirée moules frites 12 Octobre 2024
Belle prise 5 Octobre 2024
Tour des Fourmigues/Soirée Barbecue 14septembre 2024
Sortie Porquerolles des 1 et 2 Juin 2024
Formation mécanique des 24 et 25 mars 2024
Grand Prix de La Ville de Toulon 21 Avril 2024
Coupe de Noël 10 Décembre 2023
Session matelotage du 29 Avril 2023
Grand Prix de La Ville de Toulon 2 Avril 2023
Retour d'expérience phénomène météorologique du 18 aout 2022 en Corse
Coupe de Noël 11 Décembre 2022
Tour des Fourmigues/ soirée beaujolais du 19 novembrea 2022
Jean -François en Transat
Josiane et Patrick Transat 2009 2010 sur la route du Sénégal
Tour des Fourmigues/ soirée grillades 18 Juin 2022
Tour des Fourmigues/ soirée paëlla 1er Octobre 2022
Sortie Porquerolles 14 et 15 Mai 2022
Soirée "îles ioniennes" du 22 Avril
Grand Prix de la ville de Toulon du 3 Avril 2022
Session matelotage du 25 Mars 2022
Coupe de Noël 2021
Soirée moules frites 2 Juillet 21
Soirée moules frites 2 Juillet 21
Soirée grillades 18 Juin 21
Météo en croisière 6 Mars 2020 /Jean MORY
Zétrobu
La SNT en Sardaigne?...Premières "News"
Sardinade du 25 Juin
25 Mai...Un franc succès
Régate "Grand Prix de La Ville de Toulon" 3 Mars 2019
Classement Grand Prix de La Ville de Toulon" 3 Mars 2019
Photos Gd Prix de la Ville de Toulon 2019
Soirée Fruits de mer du 8 déc. 2018
Régate "La Coupe de Noël" du 16 déc. 2018
Beaujolais Nouveau du 16 Nov. 2018
Moules frites du 15 Sep. 2018
Barbecue du Samedi 9 Juin 2018
Achats / Ventes
Achats
Ventes
SuperMarmotte
Kalliopa
Galerie
Photos
Vidéos
Météo
Coordonnées utiles
Sécurité
Institutionnels
Clubs de la rade
Trucs, Astuces et Bonnes adresses
Trucs et Astuces
Nettoyer sa Coque
Evaluer sa conso d'électricité
Bonnes adresses
MIMOSAILS 2
Voilerie des Îles
VM Mécanique
ICOME INOX
La Sellerie By Aurélie
Sud Machines Outils
Un site de marin
Logos en Méditerrannée
Recettes de bord
Soupe pour les grands voyages
Pain
Tortilla aux chips
Bourse des équipiers
Demandes
Offres
Contact
Conseil portuaire / CLUPIPP
Informations sur le port et la rade
--- Accueil ---
S.N.T
Activités, animations et festivités 2025
Calendrier des régates 2025
Coupe de Noël 14 Décembre 2025
Trophée des 3 îles
Compte rendu d'activités et de manifestations
Achats / Ventes
Galerie
Météo
Coordonnées utiles
Trucs, Astuces et Bonnes adresses
Recettes de bord
Bourse des équipiers
Contact
Conseil portuaire / CLUPIPP
Informations sur le port et la rade
COUPE DE NOËL 14 DÉCEMBRE 2025
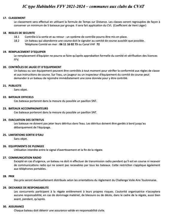
Coupe de Noël 2025 Instructions de course (sans parcours)
2025 12 14 CDN IC sans parcours.pdf
Document Adobe Acrobat
859.0 KB
Télécharger
Défiler vers le haut
fermer